Układy elektroniczne i technika pomiarowa/Moduł 7: Różnice pomiędzy wersjami
Z Studia Informatyczne
Przejdź do nawigacjiPrzejdź do wyszukiwania
Nie podano opisu zmian |
Nie podano opisu zmian |
||
| (Nie pokazano 9 pośrednich wersji utworzonych przez tego samego użytkownika) | |||
| Linia 7: | Linia 7: | ||
{| border="0" cellpadding="4" width="100%" | {| border="0" cellpadding="4" width="100%" | ||
|valign="top" width="500px"|[[Grafika: | |valign="top" width="500px"|[[Grafika:UETP_M7_Slajd1.png]] | ||
|valign="top"| | |valign="top"|'''Wykład 7. Układy zasilające.''' | ||
|} | |} | ||
<hr width="100%"> | <hr width="100%"> | ||
{| border="0" cellpadding="4" width="100%" | {| border="0" cellpadding="4" width="100%" | ||
|valign="top" width="500px"|[[Grafika: | |valign="top" width="500px"|[[Grafika:UETP_M7_Slajd2.png]] | ||
|valign="top"|'' | |valign="top"|'''Wprowadzenie''' | ||
W niniejszym wykładzie będą omówione sposoby wytwarzania i stabilizacji napięć stałych. Każde urządzenie elektroniczne jest zasilane jednym lub kilkoma napięciami stałymi. Przy dużych zapotrzebowaniach na energię elektryczną stosowanie baterii lub akumulatorów jest nieekonomiczne. Napięcia stałe wytwarza się przez transformowanie i prostowanie napięcia sieciowego jedno lub trójfazowego. Uzyskane w ten sposób napięcie zawiera najczęściej znaczne tętnienia. Zatem, aby można korzystać z takiego zasilacza należy zastosować odpowiednie filtry tętnień. Ponadto, ponieważ napięcie wyprostowane zmienia się wraz ze zmianami napięcia w sieci zasilającej oraz pod wpływem zmian obciążenia na wyjściu prostownika często jest dołączony układ stabilizatora napięcia. | |||
|} | |||
<hr width="100%"> | |||
{| border="0" cellpadding="4" width="100%" | |||
|valign="top" width="500px"|[[Grafika:UETP_M7_Slajd3.png]] | |||
|valign="top"|Klasyczny układ zasilacza składa się z czterech podstawowych elementów: transformatora sieciowego, prostownika, filtru i jeżeli to jest potrzebne ze stabilizatora napięcia lub rzadziej prądu. | |||
|} | |||
<hr width="100%"> | |||
{| border="0" cellpadding="4" width="100%" | |||
|valign="top" width="500px"|[[Grafika:UETP_M7_Slajd4.png]] | |||
|valign="top"|Transformatory przekształcające napięcie sieciowe na napięcie o innej, najczęściej mniejszej wartości niż napięcie sieci zasilającej nazywamy transformatorami sieciowymi. Transformatory sieciowe są zasilane przebiegami sinusoidalnymi | |||
o częstotliwości 50 Hz. | |||
|} | |||
<hr width="100%"> | |||
{| border="0" cellpadding="4" width="100%" | |||
|valign="top" width="500px"|[[Grafika:UETP_M7_Slajd5.png]] | |||
|valign="top"|Prostowniki sieciowe niesterowane | |||
W zależności od liczby faz zasilających układ wyróżnia się: | |||
*prostowniki jednofazowe (rys. a, b, c), | |||
*prostowniki trójfazowe (rys. d, e, f). | |||
W zależności od liczby pulsów napięcia wyjściowego prostownika w jednym okresie napięcia zasilającego układ wyróżnia się, | |||
*w grupie prostowników jednofazowych układy: | |||
:jednopulsowe (rys. a), | |||
:dwupulsowe (rys. b, c), | |||
*w grupie prostowników trójfazowych układy: | |||
:trójpulsowe (rys. d), | |||
:sześciopulsowe (rys. e, f), | |||
:wielopulsowe (np. 12, 18, 24 –pulsowe, itd., zawsze krotność | |||
:sześciopulsowego) (rys. 1g). | |||
Ze względu na topologię układu prostownika wyróżnia się: | |||
*układy z transformatorem zasilającym, | |||
*bez transformatora zasilającego (rys. a, d), | |||
*układy z dzielonym uzwojeniem wtórnym transformatora zasilającego (rys. 1b), | |||
*układy mostkowe (rys. c). | |||
|} | |||
<hr width="100%"> | |||
{| border="0" cellpadding="4" width="100%" | |||
|valign="top" width="500px"|[[Grafika:UETP_M7_Slajd6.png]] | |||
|valign="top"|Prostowniki sieciowe sterowane buduje się zastępując diody prostownicze w układach niesterowanych, tyrystorami. | |||
|} | |||
<hr width="100%"> | |||
{| border="0" cellpadding="4" width="100%" | |||
|valign="top" width="500px"|[[Grafika:UETP_M7_Slajd7.png]] | |||
|valign="top"|Prostowniki jednofazowe. Przy obciążeniu rezystancyjnym kształty przebiegów prądu odbiornika i napięcia na jego zaciskach są identyczne, a każda dioda w układzie prostownika przewodzi przez pół okresu zmienności przebiegu napięcia zasilania. | |||
|} | |||
<hr width="100%"> | |||
{| border="0" cellpadding="4" width="100%" | |||
|valign="top" width="500px"|[[Grafika:UETP_M7_Slajd8.png]] | |||
|valign="top"|'''Filtry tętnień''' | |||
W celu zmniejszenia amplitudy napięcia tętnień na zaciskach odbiornika, a co za tym idzie także amplitudy tętnień prądu odbiornika, pomiędzy prostownik i odbiornik włącza się filtr tętnień. Zadaniem filtru jest zmniejszenie wartości składowej zmiennej w przebiegu napięcia wyprostowanego. W filtrach wykorzystuje się właściwości akumulowania energii przez elementy inercyjne: kondensator w polu elektrycznym | |||
i dławik indukcyjny w polu magnetycznym. | |||
Wyróżnia się proste filtry typu C (pojemnościowe), L (indukcyjne) oraz filtry złożone typu RC, LC, CRC, CLC. Rodzaj zastosowanego filtru zależy od wartości średniej prądu odbiornika. Ogólnie należy powiedzieć, że dla „małych” prądów obciążenia stosuje się filtry C, RC lub CRC, dla „dużych” filtry L, LC, a dla „średnich” filtry mające cechy obu poprzednich typów tzn. filtry CLC. Podział na małe, średnie i duże prądy jest umowny, ale przyjmuje się często, że małe prądy to prądy o wartości poniżej 5 A. | |||
|} | |||
<hr width="100%"> | |||
{| border="0" cellpadding="4" width="100%" | |||
|valign="top" width="500px"|[[Grafika:UETP_M7_Slajd9.png]] | |||
|valign="top"|'''Parametry filtrów prostowniczych''' | |||
W literaturze wyróżnia się dwie definicje współczynnika tętnień: | |||
:<math>k_t=\frac{I'}{I_0}=\frac{U'}{U_0}</math> oraz <math>M_t=\frac{I_{0t}}{I_0}=\frac{U_{0t}}{U_0}</math> | |||
gdzie: | |||
:<math>I'\,</math> - wartość skuteczna składowej zmiennej przebiegu prądu odbiornika | |||
:<math>U'\,</math> - wartość skuteczna składowej zmiennej przebiegu napięcia odbiornika | |||
:<math>I_{0t}\,</math> - amplituda składowej zmiennej prądu odbiornika (amplituda prądu tętnień) | |||
:<math>U_{0t}\,</math> - amplituda składowej zmiennej napięcia na odbiorniku (amplituda napięcia tętnień). | |||
:<math>I_0\,</math> - wartość średnia prądu odbiornika | |||
:<math>U_0\,</math> - wartość średnia napięcia na odbiorniku | |||
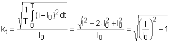
Wyrażenia te są słuszne dla dowolnego kształtu prądu odbiornika. Dla odbiornika rezystancyjnego współczynnik <math>k_t\,</math> można obliczyć ze wzoru: | |||
[[Grafika:UETP_M7_Wzor1.png]] | |||
gdzie: | |||
:<math>i\,</math> - wartość chwilowa prądu odbiornika | |||
:<math>T\,</math> - okres napięcia zasilania np. dla sieci przemysłowej 20 ms. | |||
Współczynnik <math>k_t\,</math> nie uwzględnia wartości szczytowych napięcia na odbiorniku, co przy zasilaniu układów elektronicznych jest szczególnie istotne, ponieważ krótkie impulsy szpilkowe pojawiające się na napięciu zasilającym mogą być przyczyną powstawania zakłóceń. W tym wypadku do opisu właściwości zasilacza korzystniejsze jest stosowanie współczynnika tętnień <math>M_t\,</math>. Miarą dobroci tj. zdolności filtru do tłumienia składowej zmiennej napięcia na odbiorniku jest skuteczność filtru: | |||
:<math>b=\frac{{U'}_{0t}}{U_{0t}}</math> | |||
gdzie: <math>{U'}_{0t}\,</math> - amplituda składowej zmiennej napięcia przed filtrem (amplituda napięcia tętnień na zaciskach prostownika obciążonego rezystancyjnie, bez filtru). | |||
|} | |||
<hr width="100%"> | |||
{| border="0" cellpadding="4" width="100%" | |||
|valign="top" width="500px"|[[Grafika:UETP_M7_Slajd10.png]] | |||
|valign="top"|'''Filtry podstawowe''' | |||
'''Filtr pojemnościowy''' | |||
Filtr pojemnościowy dołącza się równolegle do odbiornika. Działanie filtru pojemnościowego polega na gromadzeniu energii w polu elektrycznym kondensatora podczas przewodzenia prostownika i stopniowym oddawaniu tej energii do odbiornika, także wtedy kiedy diody prostownika nie przewodzą. | |||
Zakładając, że napięcie wyjściowe filtru ma kształt trójkątny współczynnik tętnień <math>k_t\,</math> można wyznaczyć z zależności: | |||
:<math>k_t=\frac{\pi}{2\sqrt{3}\cdot \omega \cdot C\cdot R_0}</math> | |||
|} | |||
<hr width="100%"> | |||
{| border="0" cellpadding="4" width="100%" | |||
|valign="top" width="500px"|[[Grafika:UETP_M7_Slajd11.png]] | |||
|valign="top"|'''Filtr indukcyjny''' | |||
Filtr indukcyjny włącza się szeregowo z odbiornikiem. Jest on bardzo rzadko stosowany w prostownikach małej mocy, ponieważ wykonanie specjalnego dławika z masywnym (stalowe blachy elektrotechniczne), często o znacznych rozmiarach rdzeniem, jest kłopotliwe. | |||
Tylko w energoelektronice filtry indukcyjne są nie zastąpione. | |||
Działanie filtru indukcyjnego polega na magazynowaniu energii w polu magnetycznym dławika indukcyjnego, gdy chwilowa wartość prądu w obwodzie narasta i oddawaniu zmagazynowanej energii, gdy chwilowa wartość prądu malej. W dławiku indukcyjnym indukuje się siła elektromotoryczna, która zawsze przeciwdziała zmianom chwilowej wartości prądu płynącego przez dławik. Gdy chwilowa wartość prądu ma tendencję do wzrostu indukowana siła elektromotoryczna hamuje ten wzrost i jednocześnie magazynowana jest energia w polu magnetycznym. Kiedy wartość chwilowa prądu maleje to energia pola magnetycznego oddawana jest do obwodu, a indukowana siła elektromotoryczna powoduje podtrzymanie przepływu prądu. W rezultacie zmniejszają się tętnienia prądu odbiornika. | |||
Układy prostowników jednopulsowych z filtrem indukcyjnym nie są stosowane ponieważ prąd odbiornika, niezależnie od tego jak duża jest wartość indukcyjności, zawsze w każdy okresie napięcia zasilania osiągnie wartość zerową. W układach z prostownikami dwupulsowymi prąd nie zanika do zera, ponieważ wcześniej wchodzi w stan przewodzenia druga dioda. | |||
Współczynnik <math>k_t\,</math> dla takiego filtru, uwzględniając tylko podstawową harmoniczną napięcia tętnień o pulasacji <math>\omega =2\cdot \pi\cdot p\cdot 50=4\cdot \pi\cdot 50\, Hz</math> , jest równy: | |||
:<math>k_t=\frac{R_0}{3\sqrt{2}\pi \cdot \omega \cdot L}</math> , gdzie <math>p\,</math> - liczba pulsów | |||
|} | |} | ||
<hr width="100%"> | <hr width="100%"> | ||
{| border="0" cellpadding="4" width="100%" | {| border="0" cellpadding="4" width="100%" | ||
|valign="top" width="500px"|[[Grafika: | |valign="top" width="500px"|[[Grafika:UETP_M7_Slajd12.png]] | ||
|valign="top"|'' | |valign="top"|'''Filtry złożone''' | ||
Na slajdzie przedstawiono schematy ideowe podstawowych filtrów złożonych | |||
i zależności wartości średniej napięcia wyjściowego filtru w funkcji średniej wartości prądu obciążenia przy zasilaniu z prostownika dwupulsowego. | |||
Zastosowanie filtrów złożonych w układach prostowników wprawdzie zwiększa rezystancję wewnętrzną tak utworzonego źródła napięcia, ale co jest znacznie istotniejsze, zdecydowanie zmniejsza amplitudę napięcia tętnień. Przy połączeniu kaskadowym dwóch filtrów prostych: indukcyjnego i pojemnościowego powstaje filtr LC o cechach obu filtrów. Współczynnik tętnień jest w tym wypadku równy: | |||
:<math>k_t=\frac{1}{6\sqrt{6} \cdot \omega^2 \cdot L\cdot C}</math> | |||
|} | |} | ||
<hr width="100%"> | <hr width="100%"> | ||
{| border="0" cellpadding="4" width="100%" | {| border="0" cellpadding="4" width="100%" | ||
|valign="top" width="500px"|[[Grafika: | |valign="top" width="500px"|[[Grafika:UETP_M7_Slajd13.png]] | ||
|valign="top"|'' | |valign="top"|'''Ciągłe stabilizatory napięcia stałego''' | ||
Stabilizatory napięć i prądów stałych są układami elektronicznymi, których zadaniem jest utrzymywanie na zadanym poziomie stałej wartości napięcia lub prądu wyjściowego niezależnie od zmian: napięcia zasilania, parametrów odbiornika oraz temperatury. | |||
Stabilizator napięć i prądów stałych można ogólnie podzielić na układy o działaniu ciągłym i układy impulsowe. Stabilizatory impulsowe stosuje się przede wszystkim ze względu na ich wysoką (ok. 98%) sprawność. Czasami tego typu stabilizatory realizują wstępną stabilizację i zasilają zespół wyjściowy stabilizatorów o działaniu ciągłym. Ze względu na topologię układu stabilizatora wyróżnia się układy parametryczne i układy ze sprzężeniem zwrotnym czasami nazywane także układami kompensacyjnymi. W zależności od sposoby włączenia elementu regulującego napięcie lub prąd, np. łącznika energoelektronicznego w obwodzie stabilizatory można podzielić na szeregowe i równoległe. | |||
|} | |} | ||
<hr width="100%"> | <hr width="100%"> | ||
{| border="0" cellpadding="4" width="100%" | {| border="0" cellpadding="4" width="100%" | ||
|valign="top" width="500px"|[[Grafika: | |valign="top" width="500px"|[[Grafika:UETP_M7_Slajd14.png]] | ||
|valign="top"|'' | |valign="top"|'''Parametry stabilizatorów napięcia stałego''' | ||
Każdy stabilizator można zastąpić czwórnikiem, który jest zasilanym napięciem | |||
i prądem niestabilizowanym <math>U_1\,</math> , <math>I_1\,</math> , a na zaciskach wyjściowych ma napięcie stabilizowane <math>U_2\,</math> i prąd <math>I_2\,</math>. Dla stabilizatora napięcia przyjmuje się, że wartość <math>U_2\,</math> jest funkcją trzech zmiennych: | |||
:<math>U_2=f(U_1, I_2, T)</math> | |||
Przyrost każdej zmiennej niezależnej powoduje zmianę napięcia wyjściowego zgodnie z równaniem stabilizacji: | |||
:<math>dU_2=\frac{\partial U_2}{\partial U_1}dU_1 + \frac{\partial U_2}{\partial I_2}dI_2 +\frac{\partial U_2}{\partial T}dT</math> | |||
|} | |} | ||
<hr width="100%"> | <hr width="100%"> | ||
{| border="0" cellpadding="4" width="100%" | {| border="0" cellpadding="4" width="100%" | ||
|valign="top" width="500px"|[[Grafika: | |valign="top" width="500px"|[[Grafika:UETP_M7_Slajd15.png]] | ||
|valign="top"| | |valign="top"|Pochodne cząstkowe występujące w tym równaniu definiują podstawowe parametry dowolnego stabilizatora napięcia stałego: | ||
*współczynnik stabilizacji | |||
:<math>G_U=\frac{\partial U_2}{\partial U_1}=\frac{dU_2}{dU_1}|_{I_2, T=const.}</math> | |||
*rezystancja wyjściowa | |||
:<math>r_{WY}=-\frac{\partial U_2}{\partial I_2}=-\frac{dU_2}{dI_2}|_{U_1, T=const.}</math> | |||
*współczynnik temperaturowy | |||
:<math>\gamma_T=\frac{\partial U_2}{\partial T}=\frac{dU_2}{dT}|_{U_1, I_2=const.}</math> | |||
W praktyce dąży się do uzyskania możliwie najmniejszych wartości tych współczynników. | |||
|} | |} | ||
<hr width="100%"> | <hr width="100%"> | ||
{| border="0" cellpadding="4" width="100%" | {| border="0" cellpadding="4" width="100%" | ||
|valign="top" width="500px"|[[Grafika: | |valign="top" width="500px"|[[Grafika:UETP_M7_Slajd16.png]] | ||
|valign="top"|'' | |valign="top"|'''Stabilizator napięcia parametryczny''' | ||
W układzie stabilizatora parametrycznego efekt stabilizacji uzyskuje się wykorzystując kształt charakterystyk elementu regulacyjnego, stabilistora, np. diody Zenera. Schemat prostego układu ze stabilistorem przedstawiono na slajdzie. | |||
Zasadę działania układu ilustruje rysunek. Napięcie wyjściowe stabilizatora jest równe napięciu na diodzie Zenera, dlatego badanie wpływu napięcia wejściowego i rezystancji obciążenia na wartość napięcia <math>U_2\,</math> polega na analizie położenia punktu pracy na charakterystyce diody. Dwa skrajne położenia odpowiadają stanom, kiedy dioda praktycznie nie przewodzi <math>I_2\approx 0\, A</math> , <math>U_2\approx U_{Z0}</math> oraz kiedy przewodzi prąd o wartości dopuszczalnej <math>I_Z = I_{ZMAX}</math> , gdzie <math>I_{ZMAX} = P_Z/U_{Z0}</math>. Jeżeli na charakterystyce diody narysuje się tzw. prostą obciążenia (charakterystyka prądowo – napięciowa pozostałej, liniowej części obwodu stabilizatora) to punkt przecięcia tej prostej z nieliniową charakterystyką diody Zenera wyznacza punkt pracy diody Zenera i jednocześnie punkt pracy obwodu do niej dołączonego. Zmieniając odpowiednio parametry diody Zenera (napięcie przebicia <math>U_{Z0}\,</math> , rezystancja dynamiczna <math>r_Z\,</math>) i rezystancje obwodu <math>(R_S, R_0)\,</math> można dokładnie prześledzić ruchy punktu pracy po charakterystyce diody i charakterystykach elementów z jakich jest zbudowany stabilizator. | |||
Przyjmując dwuodcinkową aproksymację charakterystyki diody Zenera oraz, że punkt pracy diody leży na odcinku umożliwiającym stabilizację napięcia można napisać: | |||
:<math>U_2=U_Z=U_{Z0}+I_Z\cdot r_Z</math> | |||
<math>U_1=(I_Z+I_2)\cdot R_S +U_2=\left(\frac{U_2-U_{Z0}}{r_Z}+\frac{U_2}{U_0}\right)\cdot R_S+U_{Z0}+I_Z\cdot r_Z</math> | |||
Po przekształceniu uzyskuje się: | |||
<math>U_2=\frac{r_Z}{R_S+r_Z}U_1-\frac{R_S \cdot r_Z}{R_S+r_Z}I_2+\frac{R_S}{R_S+r_Z}U_{Z0}</math> | |||
Wyznaczając odpowiednie pochodne cząstkowe można obliczyć poszczególne współczynniki stabilizacji: | |||
<math>\begin{matrix} G_U=\frac{r_Z}{R_S+r_Z} & r_{WY}=\frac{R_S\cdot r_Z}{R_S+r_Z} & \gamma_T=\frac{R_S}{R_S+r_Z}\cdot \frac{dU_{Z0}}{dT} \end{matrix}</math> | |||
Decydujący wpływ na jakość stabilizacji mają: wartości rezystancji dynamicznej <math>r_Z\,</math> | |||
i współczynnik temperaturowy <math>dU_{Z0}/dT</math> stabilistora. | |||
|} | |} | ||
<hr width="100%"> | <hr width="100%"> | ||
{| border="0" cellpadding="4" width="100%" | {| border="0" cellpadding="4" width="100%" | ||
|valign="top" width="500px"|[[Grafika: | |valign="top" width="500px"|[[Grafika:UETP_M7_Slajd17.png]] | ||
|valign="top"|'' | |valign="top"|'''Stabilizatory napięcia ze sprzężeniem zwrotnym (kompensacyjne)''' | ||
Zasada działania stabilizatora kompensacyjnego polega na zmianie rezystancji statycznej elementu regulacyjnego (np. tranzystora mocy), który jest sterowany różnicą napięć (tzw. sygnał błędu - <math>\varepsilon\,</math>), uzyskiwaną na drodze ciągłego porównywania wartości napięcia wyjściowego <math>U_2\,</math> lub jego części z wartością napięcia odniesienia (tzw. napięcie referencji). | |||
Stabilizatory kompensacyjne mogą pracować w układzie szeregowym lub równoległym. Decyduje o tym sposób włączenia elementu regulacyjnego – szeregowo lub równolegle w stosunku do odbiornika. Aby uzyskać niezbędne dla działania tych układów ujemne sprzężenie zwrotne, źródło odniesienia dołączone jest w stabilizatorach szeregowych do nieodwracającego wejścia wzmacniacza operacyjnego, a w równoległych do wejścia odwracającego. Zmiany napięcia wyjściowego stabilizatora powodują zmiany sygnału błędu. Sygnał błędu jest wzmacniany przez wzmacniacz operacyjny <math>k_{UR}\,</math> razy i zmienia wysterowanie tranzystora regulacyjnego, tzn. jego rezystancję statyczną. Zmiany następują, aż do momentu pełnego skompensowania sygnału błędu. W idealnym wypadku, gdy <math>\varepsilon\to 0\,</math> napięcie referencyjne równe jest napięciu wyjściowemu (lub jego części <math>U_{od}\,</math>). | |||
:<math>U_{ref}=U_{od}</math> | |||
Na tej zasadzie działają wszystkie stabilizatory kompensacyjne, niezależnie od topologii obwodu. | |||
Przy założeniu, że wzmacniacz operacyjny jest idealny można w warunkach równowagi napisać: | |||
:<math>U_{ref}=U_2\frac{R_2}{R_1+R_2}</math> | |||
Zatem napięcie wyjściowe jest równe: | |||
:<math>U_2=U_{ref}\left(1+\frac{R_1}{R_2}\right)</math> | |||
|} | |||
<hr width="100%"> | |||
{| border="0" cellpadding="4" width="100%" | |||
|valign="top" width="500px"|[[Grafika:UETP_M7_Slajd18.png]] | |||
|valign="top"|Jeżeli nie wymaga się wysokiej jakości stabilizacji, rezygnuje się z zastosowania wzmacniacza w pętli sprzężenia zwrotnego, a napięcie referencyjne doprowadza się bezpośrednio do bazy tranzystora sterującego (rys. 4). Stabilizator pracuje w tym wypadku w układzie wtórnika emiterowego. Rezystancja wyjściowa oraz napięcie wyjściowe dla takiego układu jest równa: | |||
<math>\begin{matrix} r_{WY}=\frac{r_{BE}}{\beta} & U_2=U_{ref}-U_{D0}=U_{ref}-0,7\,V \end{matrix}</math> | |||
Decydujący wpływ na parametry stabilizatorów kompensacyjnych mają: | |||
*dokładność źródła referencji (wzorcowego napięcia odniesienia), | |||
*wzmocnienie napięciowe zastosowanego wzmacniacza. | |||
|} | |||
<hr width="100%"> | |||
{| border="0" cellpadding="4" width="100%" | |||
|valign="top" width="500px"|[[Grafika:UETP_M7_Slajd19.png]] | |||
|valign="top"|'''Stabilizatory napięcia monolityczne''' | |||
Scalone układy stabilizatorów kompensacyjnych, najczęściej szeregowych, zawierają wszystkie podzespoły niezbędne do uzyskania wysokich parametrów użytkowych układu: precyzyjne skompensowane źródło napięcia referencji (odniesienia), wzmacniacz błędu, tranzystor regulacyjny (stopień mocy) oraz układy zabezpieczenia prądowego i termicznego. Najliczniejszą grupę stanowią tu układy serii 78XX i 79XX o stałej wartości napięcia wyjściowego, gdzie wartość tego napięcia jest zapisana w oznaczeniu typu elementu, np. 7805 (5 V), 7815 (15 V), 7915 (-15 V), 7924 (-24 V) oraz układy serii 78G lub LM317 o zadawanej za pomocą dzielnika rezystancyjnego R1, R2 wartości napięcia wyjściowego. | |||
|} | |} | ||
<hr width="100%"> | <hr width="100%"> | ||
{| border="0" cellpadding="4" width="100%" | {| border="0" cellpadding="4" width="100%" | ||
|valign="top" width="500px"|[[Grafika: | |valign="top" width="500px"|[[Grafika:UETP_M7_Slajd20.png]] | ||
|valign="top"|'' | |valign="top"|Na slajdzie 20 przedstawiono schemat blokowy scalonego szeregowego stabilizatora napięcia. Układ składa się z następujących bloków: | ||
:'''I''' – układ ograniczenia prądu (kontroluje spadek napięcia na rezystorze R, pod warunkiem, że sygnał wyjściowy z tego układu jest mniejszy niż sygnał wyjściowy z układów T oraz U), | |||
:'''SQA''' – układ kontroli dozwolonego obszaru pracy tranzystora (gdy spadek napięcia na tranzystorze mocy wzrasta, ograniczenie prądowe odpowiednio zmniejsza wartość prądu obciążenia), | |||
:'''T''' – układ kontroli temperatury struktury półprzewodnikowej (nadmierny wzrost temperatury powoduje zmniejszenie prądu obciążenia, pod warunkiem, że sygnał wyjściowy z tego układu jest mniejszy niż sygnał wyjściowy z układów I oraz U), | |||
:'''U''' – wzmacniacz błędu (utrzymuje wartość napięcia wyjściowego na zadanym poziomie, pod warunkiem, że sygnał wyjściowy z tego układu jest mniejszy niż sygnał wyjściowy z układów I oraz T) | |||
Diody na wyjściach bloków I, T, U powodują, że napięcie wyjściowe określa ta wielkość sterująca, która ma najmniejszą wartość. W normalnych warunkach pracy na tranzystor regulacyjny oddziałuje sygnał wyjściowy z bloku wzmacniacza błędu. | |||
|} | |||
{| border="0" cellpadding="4" width="100%" | |||
|valign="top" width="500px"|[[Grafika:UETP_M7_Slajd21.png]] | |||
|valign="top"|W celu poszerzenia zakresu prądowego można zastosować obwody przedstawione na slajdzie. | |||
|} | |} | ||
<hr width="100%"> | <hr width="100%"> | ||
{| border="0" cellpadding="4" width="100%" | {| border="0" cellpadding="4" width="100%" | ||
|valign="top" width="500px"|[[Grafika: | |valign="top" width="500px"|[[Grafika:UETP_M7_Slajd22.png]] | ||
|valign="top"| | |valign="top"|Stabilizatory serii 78G i LM317 umożliwiające zadawanie napięcia wyjściowego stabilizatora. | ||
|} | |} | ||
<hr width="100%"> | <hr width="100%"> | ||
{| border="0" cellpadding="4" width="100%" | {| border="0" cellpadding="4" width="100%" | ||
|valign="top" width="500px"|[[Grafika: | |valign="top" width="500px"|[[Grafika:UETP_M7_Slajd23.png]] | ||
|valign="top"| | |valign="top"|Zasilacze impulsowe. Zasilacze impulsowe można podzielić generalnie na dwie grup: zasilacze impulsowe z kluczowaniem po stronie pierwotnej oraz zasilacze impulsowe z kluczowaniem po stronie wtórnej transformatora. | ||
|} | |} | ||
<hr width="100%"> | |||
'''Literatura''' | |||
*J. T. Matysik, M. P. Kaźmierkowski, Wprowadzenie do elektroniki i energoelektroniki, Oficyna Wydawnicza Politechniki Warszawskiej | |||
*U. Tietze, Ch. Schenk, Układy półprzewodnikowe, Wydawnictwa Naukowo – Techniczne | |||
*P. Fabijański i inni, Ćwiczenia z podstaw elektroniki, Oficyna Wydawnicza Politechniki Warszawskiej | |||
*Z. Nosal, J. Baranowski, Układy elektroniczne cz. I. Układy analogowe liniowe, Wydawnictwa Naukowo – Techniczne | |||
*H. Tunia, B. Winiarski, Energoelektronika, Wydawnictwa Naukowo – Techniczne | |||
*R. Barlik, M. Nowak, Technika tyrystorowa, Wydawnictwa Naukowo – Techniczne | |||
<hr width="100%"> | |||
Aktualna wersja na dzień 12:23, 4 wrz 2006
wersja beta
UKŁADY ELEKTRONICZNE I TECHNIKA POMIAROWA
Moduł 7 - Układy zasilające
|
Wykład 7. Układy zasilające. |
|
Klasyczny układ zasilacza składa się z czterech podstawowych elementów: transformatora sieciowego, prostownika, filtru i jeżeli to jest potrzebne ze stabilizatora napięcia lub rzadziej prądu. |
|
Prostowniki sieciowe sterowane buduje się zastępując diody prostownicze w układach niesterowanych, tyrystorami. |
|
W celu poszerzenia zakresu prądowego można zastosować obwody przedstawione na slajdzie. |
|
Stabilizatory serii 78G i LM317 umożliwiające zadawanie napięcia wyjściowego stabilizatora. |
Literatura
- J. T. Matysik, M. P. Kaźmierkowski, Wprowadzenie do elektroniki i energoelektroniki, Oficyna Wydawnicza Politechniki Warszawskiej
- U. Tietze, Ch. Schenk, Układy półprzewodnikowe, Wydawnictwa Naukowo – Techniczne
- P. Fabijański i inni, Ćwiczenia z podstaw elektroniki, Oficyna Wydawnicza Politechniki Warszawskiej
- Z. Nosal, J. Baranowski, Układy elektroniczne cz. I. Układy analogowe liniowe, Wydawnictwa Naukowo – Techniczne
- H. Tunia, B. Winiarski, Energoelektronika, Wydawnictwa Naukowo – Techniczne
- R. Barlik, M. Nowak, Technika tyrystorowa, Wydawnictwa Naukowo – Techniczne























